中国科大潘建伟教授及同事陈帅、邓友金等与北京大学刘雄军、维也纳工业大学、卡尔加里大学的合作者们,在超冷原子拓扑量子体系的实验研究方面取得新进展。他们用量子淬火动力学方法在人工合成的二维自旋轨道耦合超冷原子体系中得到了直接判断体系拓扑的动力学判据,并据此精确测定了体系的拓扑相图。相关研究成果于12月18日在线发表在国际权威学术期刊《物理评论快报》上[https://doi.org/10.1103/PhysRevLett.121.250403]。该成果开创了用非平衡态动力学来研究拓扑量子体系的新方法。
自旋轨道耦合是量子物理学中基本的物理效应,它在拓扑绝缘体、拓扑超导、Majorana费米子等多种拓扑量子物态中扮演了核心角色。由于拓扑的非局域特性,在拓扑相和拓扑态的判断上通常难以找到一个局域的可观测量。近年来,科学家们在超冷原子体系中发展了一系列拓扑探测手段,例如干涉法测量Berry相位、用热原子填充测量能带对称点的自旋分布等,但均未提供拓扑量子态简单直接的判据,并且很多方法受限于温度效应和测量过程中的加热影响,使得精确测量体系拓扑仍然困难重重。
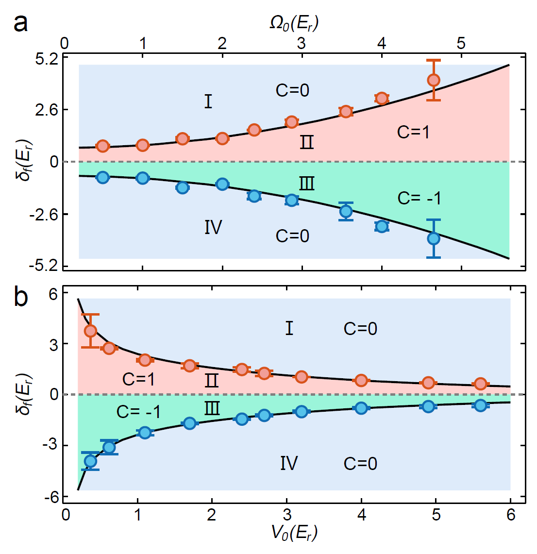
研究小组对2016年实现的二维自旋轨道耦合进行了改进,提出优化的理论方案[Phys. Rev. A 97, 011605(R)(2018)],同时在实验上构造出高度可控、对称与长寿命的二维自旋轨道耦合玻色气体[Phys. Rev. Lett. 121,150401 (2018)]。在此基础上,研究小组利用非平衡态动力学方法在实验上首次直接精确测量了能带拓扑。他们利用量子淬火机制,使体系处于非平衡态,并在二维自旋轨道耦合哈密顿量下进行幺正动力学演化。在演化过程中,他们观察到自旋极化在二维准动量空间上产生了圈状结构,此结构被证实是近期理论提出的拓扑能带反转面的直接证据[Science Bull. 63, 1385 (2018)],进而可以直接判断能带的拓扑性质并得到拓扑陈数。不仅如此,通过实验调节拓扑能带参数,自旋极化的圈状结构的尺寸也随之变化,由此可以精确标定出拓扑非平庸区域的边界,测定体系的拓扑相图。相对于一般的平衡态方法,非平衡态动力学方法对原子温度以及高能带的影响不敏感,具有很强的普适性,也可以推广到高维的多种拓扑体系中来简单直接精确地测量体系拓扑。
该工作首次在实验上验证了非平衡态动力学方法在探测体系拓扑方面所具有的优越性,为拓扑量子体系的研究提供了新思路。该研究工作得到科技部、国家自然科学基金委、中科院、教育部和中科院-阿里巴巴量子计算实验室等支持。

图1:二维准动量空间上的自旋极化随时间的演化以及自旋极化呈现的圈状

图2:实验上对拓扑相图中拓扑边界的精确测定
相关文章链接:
https://doi.org/10.1103/PhysRevLett.121.250403
https://doi.org/10.1103/PhysRevLett.121.150401
