您当前的位置:首页  研究成果  研究进展

我国学者在超冷原子量子模拟领域取得重大突破

时间:2016-10-12 01:32:40 来源:合肥微尺度物质科学国家实验室|http://www.hfnl.ustc.edu.cn
  中国科学技术大学和北京大学相关研究人员组成的联合团队在超冷原子量子模拟领域取得重大突破。中国科大-北大联合团队在国际上首次理论提出并实验实现超冷原子二维自旋轨道耦合的人工合成,测定了由自旋轨道耦合导致的新奇拓扑量子物性。这一关键突破将对新奇拓扑量子物态的研究,进而推动人们对物质世界的深入理解带来重大影响。该合作成果以研究长文(Research Article)的形式发表在最新一期的国际权威学术期刊《科学》上[Science, 354, 83-88, (2016)]。由于该工作“对研究超越传统凝聚态物理的奇异现象具有重大潜力”,《科学》杂志在同期的观点栏目(Perspective)专门配发了题为“Cold atoms twisting spin and momentum”的评论文章。

  自旋轨道耦合是量子物理学中基本的物理效应。它在多种基本物理现象和新奇量子物态中扮演了核心角色。这些现象导致产生了自旋电子学、拓扑绝缘体、拓扑超导体等当前凝聚态物理中最重要的前沿研究领域。然而,由于普遍存在难以控制的复杂环境,很多重要的新奇物理难以在固体材料中做精确研究。这对相关科研带来很大的挑战。

  同时,随着超冷原子物理量子模拟领域的重大发展,在超冷原子中实现人工自旋轨道耦合,并研究新奇量子物态已成为该领域最重大的前沿课题之一。冷原子有环境干净,高度可控等重要特性。在过去五年里,一维人工自旋轨道耦合在实验上实现,并取得一系列成果。但探索广泛深刻的新型拓扑量子物态须获得二维以上的自旋轨道耦合。如何实现高维自旋轨道耦合已成为超冷原子量子模拟最紧迫的核心课题。

  在超冷原子中实现高维自旋轨道耦合在理论和实验上都是极具挑战性的问题。国际上多个团队均为此付出了许多努力。为解决这一根本困难,北京大学刘雄军理论小组提出了所谓的拉曼光晶格量子系统。发现基于该系统,不仅可完好地实现二维人工自旋轨道耦合,并能得到如量子反常霍尔效应和拓扑超流等深刻的基本物理效应。基于该理论方案,中国科学技术大学潘建伟、陈帅和邓友金等组成的实验小组在经过多年艰苦努力发展起来的超精密激光和磁场调控技术的基础上,成功地构造了拉曼光晶格量子系统,合成二维自旋轨道耦合的玻色-爱因斯坦凝聚体。进一步研究发现,合成的自旋轨道耦合和能带拓扑具有高度可调控性。该工作将对冷原子和凝聚态物理研究产生重大影响,基于此工作可研究全新的拓扑物理,包括固体系统中难以观察到的玻色子拓扑效应等,从而为超冷原子量子模拟开辟了一条新道路。
图1:二维自旋轨道耦合和拓扑能带实现示意图。在激光场的作用下,原子在光晶格中发生自旋翻转的量子隧穿,导致自旋轨道耦合。
图2:自旋轨道耦合诱导的不同自旋态的原子团分布。
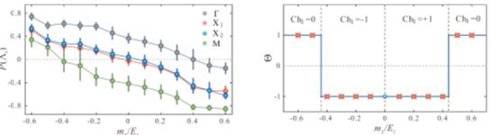
图3:测量到的高对称点自旋态分布以及对应的能带陈省身拓扑数与理论计算相符。

  该工作在中国科大和北京大学两个单位的紧密合作下完成。这项工作显示我国在超冷原子量子模拟相关研究方向上已走在国际最前列。潘建伟,刘雄军,陈帅依次为文章的通讯作者。该项目得到国家自然科学基金委,科技部,教育部,中科院和中科院-阿里巴巴量子计算联合实验室等支持。

附:人工自旋轨道耦合研究背景.doc

相关论文链接
http://science.sciencemag.org/content/354/6308/83.full.pdf+html

Science发表的评论文章
http://science.sciencemag.org/content/354/6308/35.full

相关文章